| Author | Message |
|---|---|
|
KA1997
Posts: 31
|
Posted 00:42 Apr 18, 2017 |
Where do I store the files I use for this problem? It keeps saying "File Not Found", even though I'm typing the right file. |
|
jzunig20
Posts: 38
|
Posted 01:21 Apr 18, 2017 |
follow the coding examples on github and eventually you'll figure it out |
|
kknaur
Posts: 540
|
Posted 06:05 Apr 18, 2017 |
Files must be stored in the current working directory. For Eclipse this will be your project folder (not the src, bin, or any other folders, but the project folder.) For the command line and text editor this will be the same folder where your .class files are generated when you compile your code. |
|
KA1997
Posts: 31
|
Posted 12:06 Apr 18, 2017 |
Got it. Thanks! |
|
jgarc629
Posts: 76
|
Posted 21:02 Apr 18, 2017 |
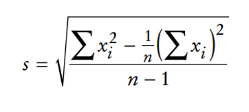
Can anyone remind me what the formula for deviation is? |
|
bliu14
Posts: 10
|
Posted 22:01 Apr 18, 2017 |
From Homework 7 prompt. Hope it helps! |
